Etap szkolny informatyczny konkurs kuratoryjny dla gim.
rok 2007 woj.pomorskie


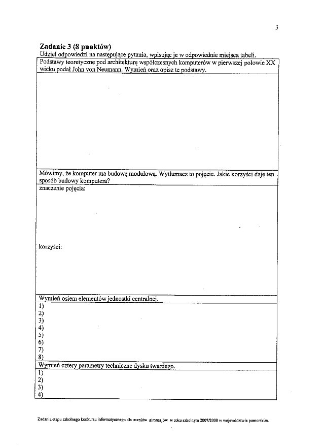
Pytania / odpowiedzi ponizej











Odpowiedzi